Официальное опубликование правовых актов
ОФИЦИАЛЬНОЕ ОПУБЛИКОВАНИЕ
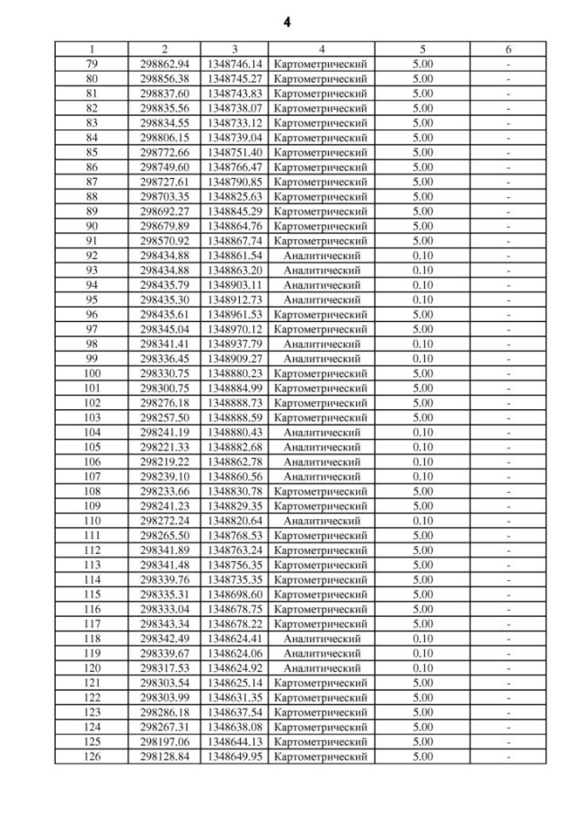
Приказ Департамента архитектуры и градостроительства Воронежской области от 19.10.2022 № 45-01-04/1048
"О внесении изменений в правила землепользования и застройки Кантемировского городского поселения Кантемировского муниципального района Воронежской области"
(Зарегистрирован 27.10.2022 № 1115)
Номер опубликования: 3601202210310002
Дата опубликования: 31.10.2022
Страница №16 из 276:
Увеличить