Официальное опубликование правовых актов
ОФИЦИАЛЬНОЕ ОПУБЛИКОВАНИЕ
Приказ Департамента архитектуры и градостроительства Воронежской области от 12.10.2022 № 45-01-04/1016
"О внесении изменений в правила землепользования и застройки Елизаветовского сельского поселения Павловского муниципального района Воронежской области"
(Зарегистрирован 24.10.2022 № 1092)
Номер опубликования: 3601202210260001
Дата опубликования: 26.10.2022
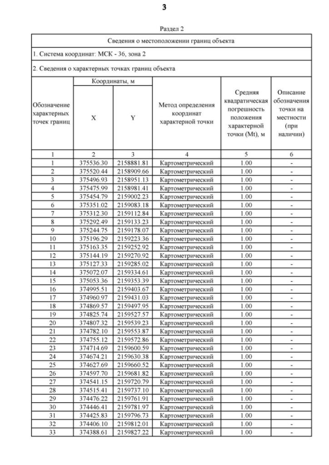
Страница №35 из 90:
Увеличить