Официальное опубликование правовых актов
ОФИЦИАЛЬНОЕ ОПУБЛИКОВАНИЕ
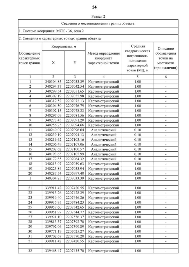
Приказ Департамента архитектуры и градостроительства Воронежской области от 22.08.2022 № 45-01-04/863
"Об утверждении правил землепользования и застройки Петропавловского сельского поселения Петропавловского муниципального района Воронежской области"
(Зарегистрирован 06.09.2022 № 922)
Номер опубликования: 3601202209090010
Дата опубликования: 09.09.2022
Страница №84 из 247:
Увеличить