Официальное опубликование правовых актов
ОФИЦИАЛЬНОЕ ОПУБЛИКОВАНИЕ
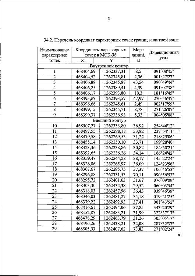
Приказ управления по охране объектов культурного наследия Воронежской области от 29.08.2022 № 71-01-07/345
"О внесении изменения в приказ управления по охране объектов культурного наследия Воронежской области от 19.11.2019 № 71-01-07/296"
(Зарегистрирован 06.09.2022 № 916)
Номер опубликования: 3601202209090004
Дата опубликования: 09.09.2022
Страница №3 из 4:
Увеличить