Официальное опубликование правовых актов
ОФИЦИАЛЬНОЕ ОПУБЛИКОВАНИЕ
Приказ Департамента архитектуры и градостроительства Воронежской области от 29.07.2022 № 45-01-04/786
"О внесении изменений в правила землепользования и застройки Малоприваловского сельского поселения Верхнехавского муниципального района Воронежской области"
(Зарегистрирован 11.08.2022 № 844)
Номер опубликования: 3601202208120003
Дата опубликования: 12.08.2022
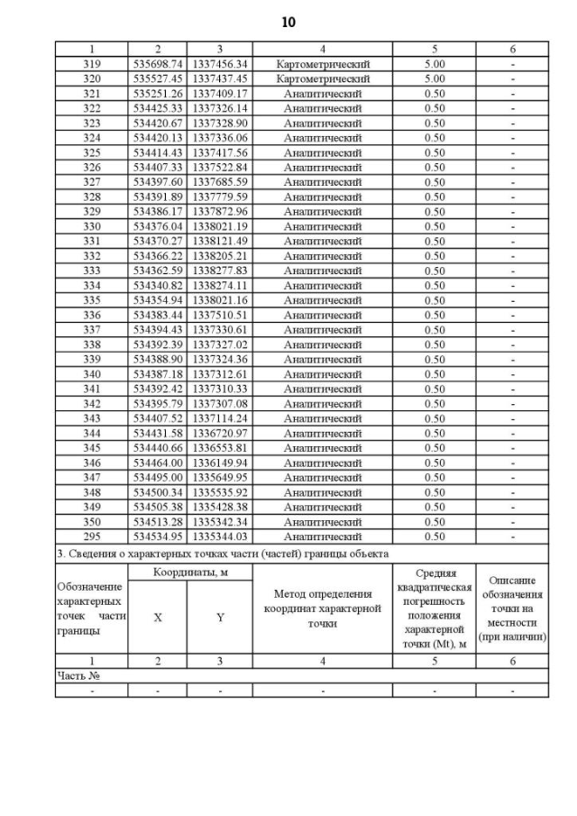
Страница №169 из 193:
Увеличить