Официальное опубликование правовых актов
ОФИЦИАЛЬНОЕ ОПУБЛИКОВАНИЕ
Приказ Департамента архитектуры и градостроительства Воронежской области от 05.08.2022 № 45-01-04/815
"О внесении изменений в правила землепользования и застройки Среднеикорецкого сельского поселения Лискинского муниципального района Воронежской области"
(Зарегистрирован 11.08.2022 № 845)
Номер опубликования: 3601202208120002
Дата опубликования: 12.08.2022
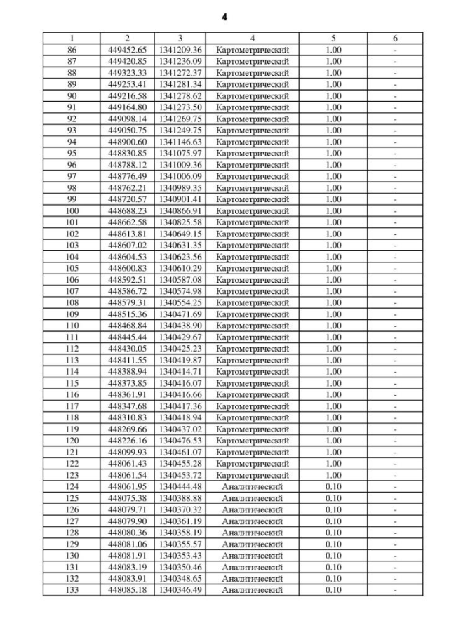
Страница №44 из 179:
Увеличить