Официальное опубликование правовых актов
ОФИЦИАЛЬНОЕ ОПУБЛИКОВАНИЕ
Приказ Департамента архитектуры и градостроительства Воронежской области от 29.07.2022 № 45-01-04/795
"О внесении изменений в правила землепользования и застройки Луговского сельского поселения Богучарского муниципального района Воронежской области"
(Зарегистрирован 08.08.2022 № 834)
Номер опубликования: 3601202208110009
Дата опубликования: 11.08.2022
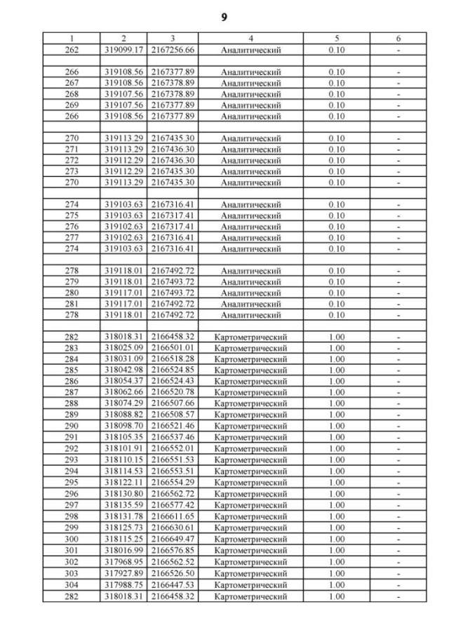
Страница №45 из 231:
Увеличить