Официальное опубликование правовых актов
ОФИЦИАЛЬНОЕ ОПУБЛИКОВАНИЕ
Приказ Департамента архитектуры и градостроительства Воронежской области от 20.07.2022 № 45-01-04/759
"О внесении изменений в правила землепользования и застройки Рамоньского сельского поселения Аннинского муниципального района Воронежской области"
(Зарегистрирован 01.08.2022 № 806)
Номер опубликования: 3601202208030006
Дата опубликования: 03.08.2022
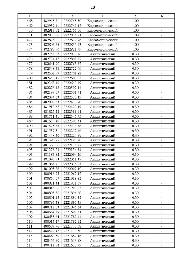
Страница №125 из 146:
Увеличить