Официальное опубликование правовых актов
ОФИЦИАЛЬНОЕ ОПУБЛИКОВАНИЕ
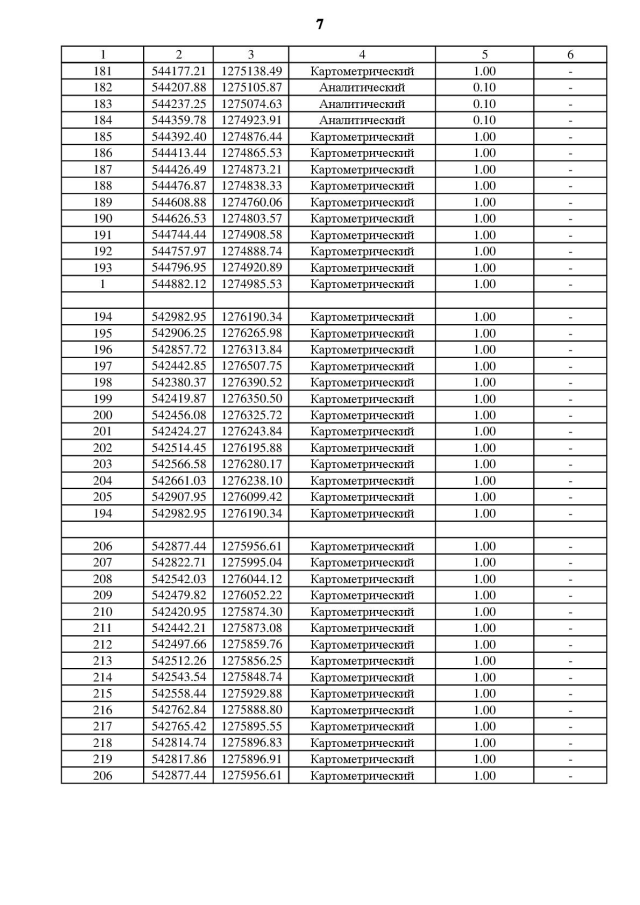
Приказ Департамента архитектуры и градостроительства Воронежской области от 05.07.2022 № 45-01-04/688
"О внесении изменений в правила землепользования и застройки Сомовского сельского поселения Рамонского муниципального района Воронежской области"
(Зарегистрирован 18.07.2022 № 738)
Номер опубликования: 3601202207200022
Дата опубликования: 20.07.2022
Страница №73 из 117:
Увеличить