Официальное опубликование правовых актов
ОФИЦИАЛЬНОЕ ОПУБЛИКОВАНИЕ
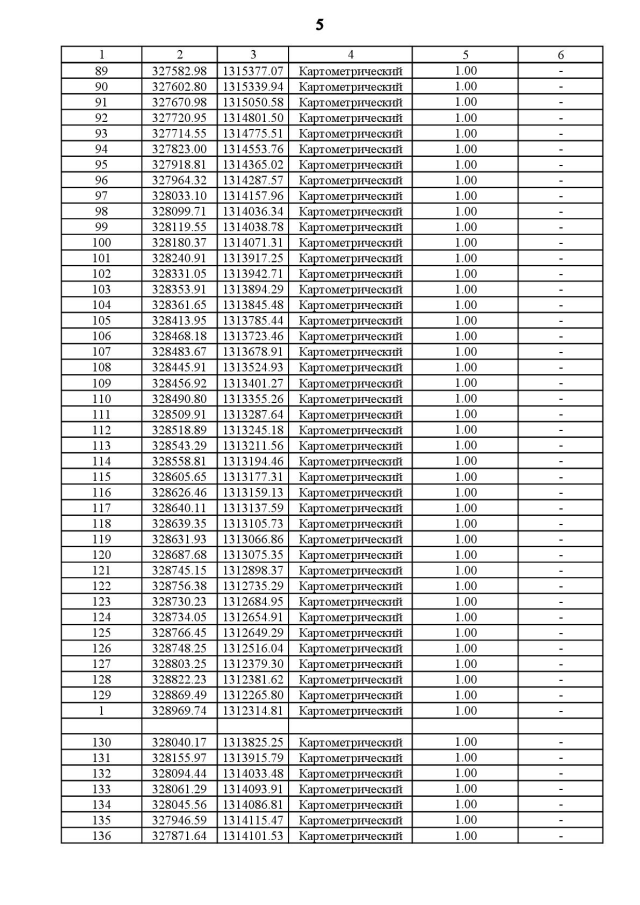
Приказ Департамента архитектуры и градостроительства Воронежской области от 05.07.2022 № 45-01-04/682
"О внесении изменений в правила землепользования и застройки Александровского сельского поселения Россошанского муниципального района Воронежской области"
(Зарегистрирован 18.07.2022 № 743)
Номер опубликования: 3601202207200001
Дата опубликования: 20.07.2022
Страница №43 из 111:
Увеличить