Официальное опубликование правовых актов
ОФИЦИАЛЬНОЕ ОПУБЛИКОВАНИЕ
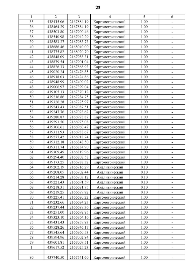
Приказ Департамента архитектуры и градостроительства Воронежской области от 15.06.2022 № 45-01-04/600
"О внесении изменений в правила землепользования и застройки Анновского сельского поселения Бобровского муниципального района Воронежской области"
(Зарегистрирован 24.06.2022 № 656)
Номер опубликования: 3601202206290009
Дата опубликования: 29.06.2022
Страница №54 из 107:
Увеличить