Официальное опубликование правовых актов
ОФИЦИАЛЬНОЕ ОПУБЛИКОВАНИЕ
Приказ Департамента архитектуры и градостроительства Воронежской области от 24.05.2022 № 45-01-04/474
"О внесении изменений в правила землепользования и застройки Троицкого сельского поселения Новохопёрского муниципального района Воронежской области"
(Зарегистрирован 30.05.2022 № 527)
Номер опубликования: 3601202206030005
Дата опубликования: 03.06.2022
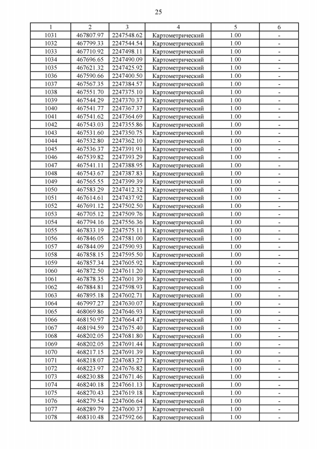
Страница №75 из 169:
Увеличить