Официальное опубликование правовых актов
ОФИЦИАЛЬНОЕ ОПУБЛИКОВАНИЕ
Приказ Департамента архитектуры и градостроительства Воронежской области от 12.05.2022 № 45-01-04/425
"О внесении изменений в правила землепользования и застройки Большеприваловского сельского поселения Верхнехавского муниципального района Воронежской области"
(Зарегистрирован 24.05.2022 № 478)
Номер опубликования: 3601202205270009
Дата опубликования: 27.05.2022
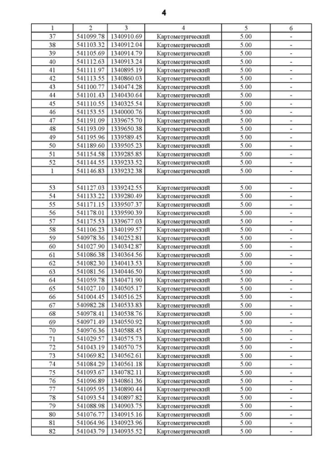
Страница №91 из 131:
Увеличить