Официальное опубликование правовых актов
ОФИЦИАЛЬНОЕ ОПУБЛИКОВАНИЕ
Приказ Департамента архитектуры и градостроительства Воронежской области от 27.04.2022 № 45-01-04/386
"О внесении изменений в правила землепользования и застройки Витебского сельского поселения Подгоренского муниципального района Воронежской области"
(Зарегистрирован 17.05.2022 № 451)
Номер опубликования: 3601202205240001
Дата опубликования: 24.05.2022
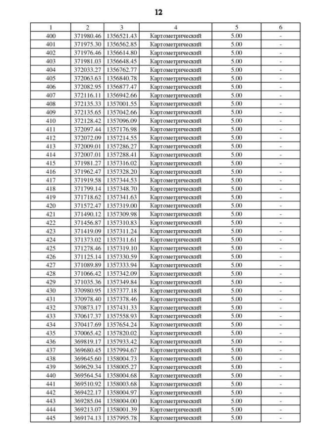
Страница №190 из 210:
Увеличить