Официальное опубликование правовых актов
ОФИЦИАЛЬНОЕ ОПУБЛИКОВАНИЕ
Приказ Департамента архитектуры и градостроительства Воронежской области от 28.04.2022 № 45-01-04/409
"О внесении изменений в правила землепользования и застройки Белогорьевского сельского поселения Подгоренского муниципального района Воронежской области"
(Зарегистрирован 12.05.2022 № 430)
Номер опубликования: 3601202205200012
Дата опубликования: 20.05.2022
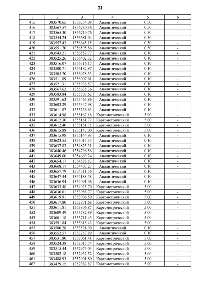
Страница №224 из 261:
Увеличить