Официальное опубликование правовых актов
ОФИЦИАЛЬНОЕ ОПУБЛИКОВАНИЕ
Приказ Департамента архитектуры и градостроительства Воронежской области от 23.03.2022 № 45-01-04/226
"Об утверждении правил землепользования и застройки Россошкинского сельского поселения Репьёвского муниципального района Воронежской области"
(Зарегистрирован 08.04.2022 № 302)
Номер опубликования: 3601202204150011
Дата опубликования: 15.04.2022
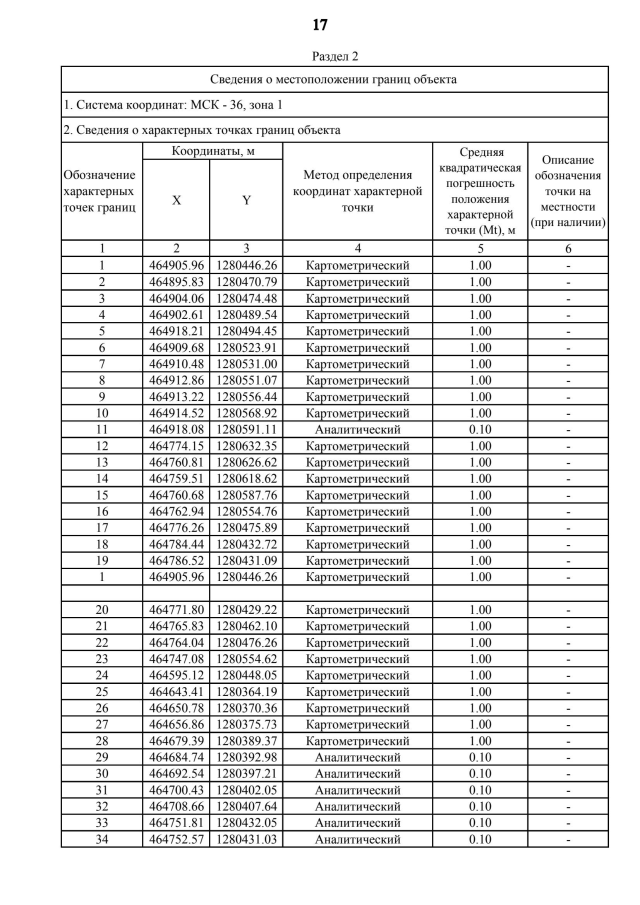
Страница №70 из 117:
Увеличить