Официальное опубликование правовых актов
ОФИЦИАЛЬНОЕ ОПУБЛИКОВАНИЕ
Приказ Департамента архитектуры и градостроительства Воронежской области от 30.03.2022 № 45-01-04/271
"О внесении изменений в правила землепользования и застройки Панинского городского поселения Панинского муниципального района Воронежской области"
(Зарегистрирован 06.04.2022 № 282)
Номер опубликования: 3601202204120003
Дата опубликования: 12.04.2022
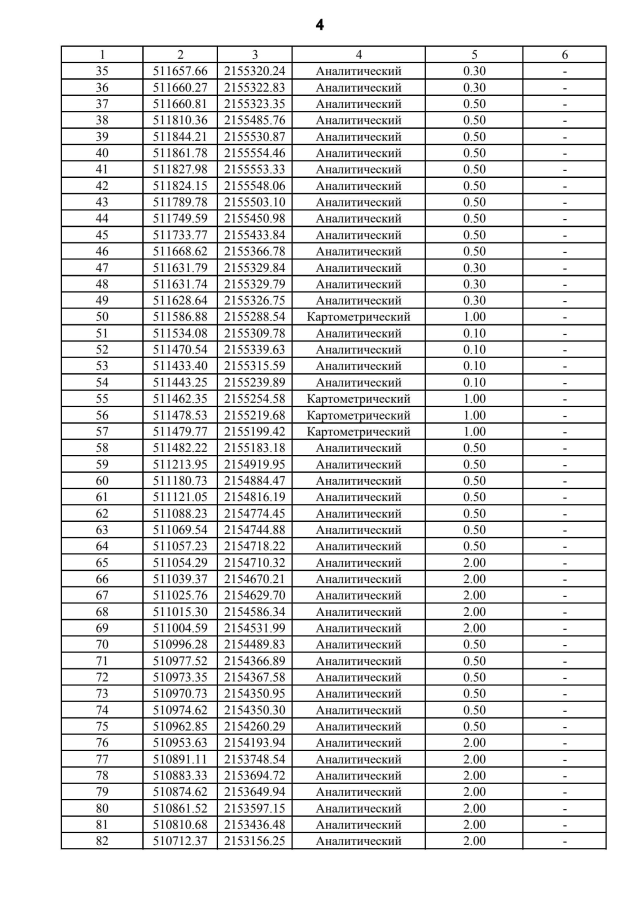
Страница №213 из 238:
Увеличить