Официальное опубликование правовых актов
ОФИЦИАЛЬНОЕ ОПУБЛИКОВАНИЕ
Приказ Департамента архитектуры и градостроительства Воронежской области от 31.01.2022 № 45-01-04/74
"О внесении изменений в правила землепользования и застройки Пугачёвского сельского поселения Аннинского муниципального района Воронежской области"
(Зарегистрирован 07.02.2022 № 69)
Номер опубликования: 3601202202150003
Дата опубликования: 15.02.2022
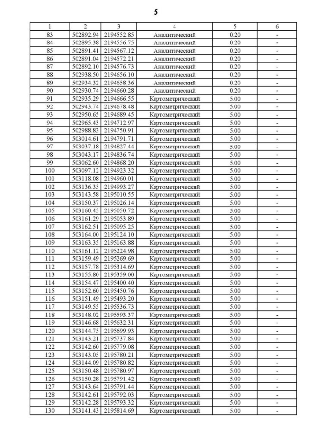
Страница №122 из 147:
Увеличить