Официальное опубликование правовых актов
ОФИЦИАЛЬНОЕ ОПУБЛИКОВАНИЕ
Приказ Департамента архитектуры и градостроительства Воронежской области от 11.01.2022 № 45-01-04/3
"О внесении изменений в правила землепользования и застройки Елизаветовского сельского поселения Павловского муниципального района Воронежской области"
(Зарегистрирован 19.01.2022 № 9)
Номер опубликования: 3601202201210006
Дата опубликования: 21.01.2022
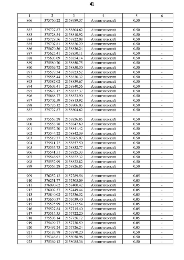
Страница №199 из 231:
Увеличить