Официальное опубликование правовых актов
ОФИЦИАЛЬНОЕ ОПУБЛИКОВАНИЕ
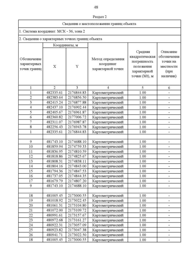
Приказ Департамента архитектуры и градостроительства Воронежской области от 22.12.2021 № 45-01-04/1354
"О внесении изменений в правила землепользования и застройки Старотойденского сельского поселения Аннинского муниципального района Воронежской области"
(Зарегистрирован 17.01.2022 № 2016)
Номер опубликования: 3601202201200012
Дата опубликования: 20.01.2022
Страница №93 из 127:
Увеличить