Официальное опубликование правовых актов
ОФИЦИАЛЬНОЕ ОПУБЛИКОВАНИЕ
Приказ Департамента архитектуры и градостроительства Воронежской области от 16.12.2021 № 45-01-04/1340
"О внесении изменений в правила землепользования и застройки Краснологского сельского поселения Аннинского муниципального района Воронежской области"
(Зарегистрирован 18.01.2022 № 2027)
Номер опубликования: 3601202201200005
Дата опубликования: 20.01.2022
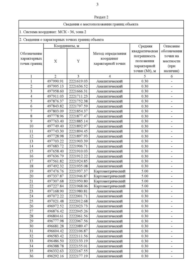
Страница №71 из 93:
Увеличить