Официальное опубликование правовых актов
ОФИЦИАЛЬНОЕ ОПУБЛИКОВАНИЕ
Приказ Департамента архитектуры и градостроительства Воронежской области от 23.12.2021 № 45-01-04/1365
"О внесении изменений в правила землепользования и застройки Степнянского сельского поселения Ольховатского муниципального района Воронежской области"
(Зарегистрирован 14.01.2022 № 2002)
Номер опубликования: 3601202201190020
Дата опубликования: 19.01.2022
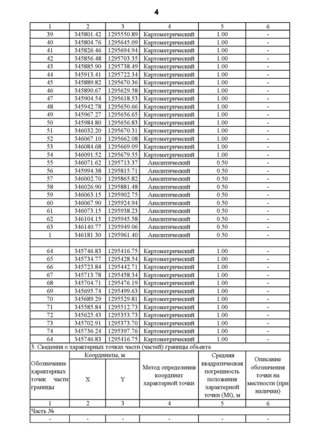
Страница №166 из 231:
Увеличить