Официальное опубликование правовых актов
ОФИЦИАЛЬНОЕ ОПУБЛИКОВАНИЕ
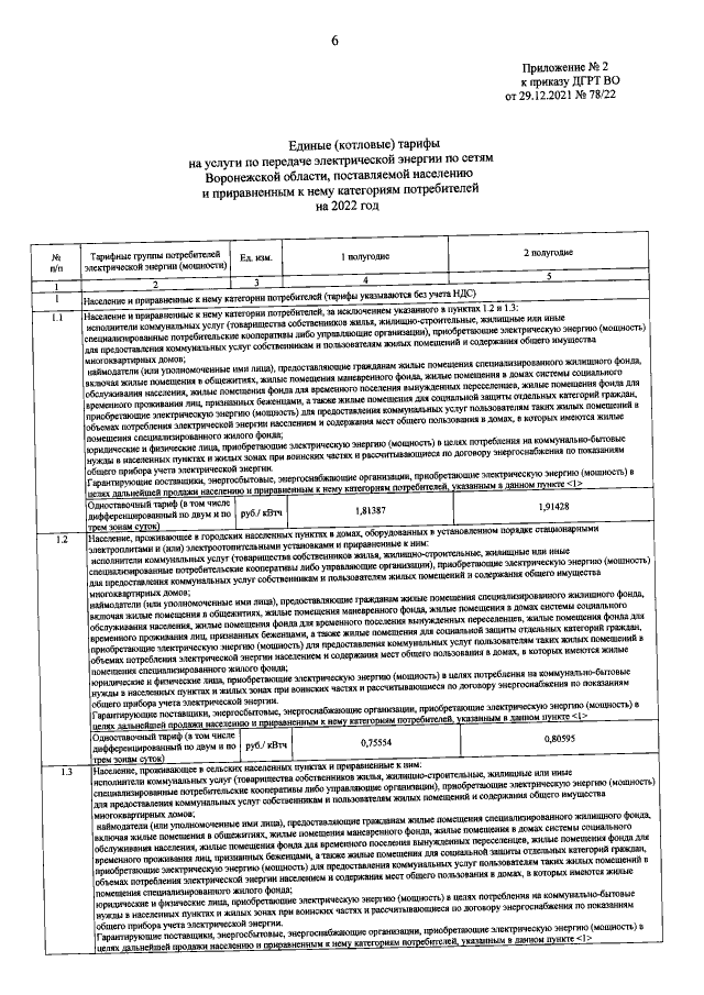
Приказ Департамента государственного регулирования тарифов Воронежской области от 29.12.2021 № 78/22
"Об установлении единых (котловых) тарифов на услуги по передаче электрической энергии по сетям Воронежской области на 2022 год"
(Зарегистрирован 30.12.2021 № 1964)
Номер опубликования: 3601202112300030
Дата опубликования: 30.12.2021
Страница №8 из 9:
Увеличить