Официальное опубликование правовых актов
ОФИЦИАЛЬНОЕ ОПУБЛИКОВАНИЕ
Приказ Департамента государственного регулирования тарифов Воронежской области от 20.12.2021 № 73/37
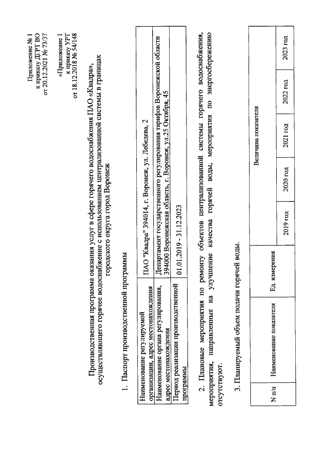
"О внесении изменений в приказ УРТ от 18.12.2018 № 54/148 "Об установлении долгосрочных параметров регулирования деятельности и установлении тарифов на горячую воду (горячее водоснабжение) для ПАО "Квадра", осуществляющего горячее водоснабжение с использованием централизованной системы в границах городского округа город Воронеж, на период 2019 - 2023 годов"
(Зарегистрирован 21.12.2021 № 1857)
Номер опубликования: 3601202112220082
Дата опубликования: 22.12.2021
Страница №3 из 8:
Увеличить