Официальное опубликование правовых актов
ОФИЦИАЛЬНОЕ ОПУБЛИКОВАНИЕ
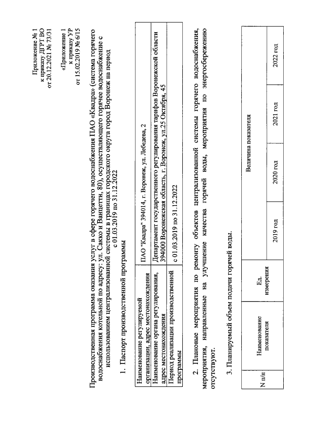
Приказ Департамента государственного регулирования тарифов Воронежской области от 20.12.2021 № 73/31
"О внесении изменений в приказ УРТ от 15.02.2019 № 6/15 "Об установлении долгосрочных параметров регулирования деятельности и установлении тарифов на горячую воду (горячее водоснабжение) для ПАО "Квадра" (система горячего водоснабжения котельной по адресу: ул. Сакко и Ванцетти, 80), осуществляющего горячее водоснабжение с использованием централизованной системы в границах городского округа город Воронеж, на период 2019 - 2022 годов"
(Зарегистрирован 21.12.2021 № 1871)
Номер опубликования: 3601202112220074
Дата опубликования: 22.12.2021
Страница №3 из 9:
Увеличить