Официальное опубликование правовых актов
ОФИЦИАЛЬНОЕ ОПУБЛИКОВАНИЕ
Приказ Департамента государственного регулирования тарифов Воронежской области от 15.12.2021 № 70/39
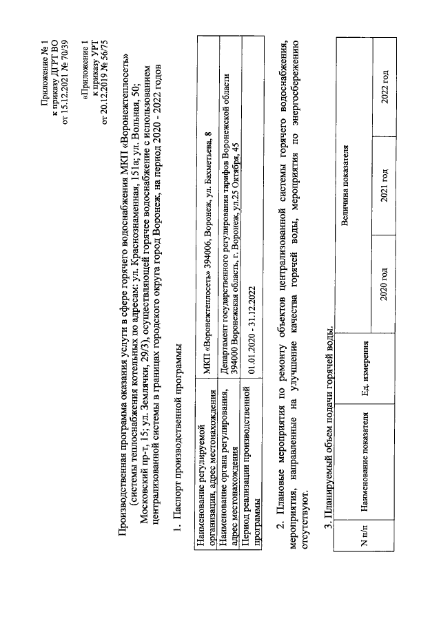
"О внесении изменения в приказ УРТ от 20.12.2019 № 56/75 "Об установлении тарифов на горячую воду (горячее водоснабжение), поставляемую МКП "Воронежтеплосеть" (системы теплоснабжения котельных по адресам: ул. Краснознаменная, 151а; ул. Вольная, 50; Московский пр-т, 15), осуществляющего горячее водоснабжение с использованием централизованной системы в границах городского округа город Воронеж, на период 2020 - 2022 годов"
(Зарегистрирован 21.12.2021 № 1827)
Номер опубликования: 3601202112220047
Дата опубликования: 22.12.2021
Страница №3 из 7:
Увеличить