Приказ Департамента государственного регулирования тарифов Воронежской области от 09.12.2021 № 67/59
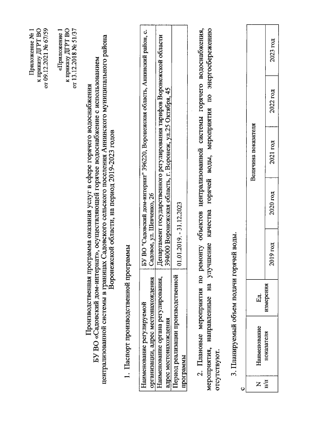
"О внесении изменения в приказ УРТ от 13.12.2018 № 51/37 "Об установлении долгосрочных параметров регулирования деятельности и установлении тарифов на горячую воду (горячее водоснабжение) для БУ ВО "Садовский дом-интернат", осуществляющего горячее водоснабжение с использованием централизованной системы в границах садовского сельского поселения Аннинского муниципального района Воронежской области, на период 2019-2023 годов"
(Зарегистрирован 17.12.2021 № 1603)
"О внесении изменения в приказ УРТ от 13.12.2018 № 51/37 "Об установлении долгосрочных параметров регулирования деятельности и установлении тарифов на горячую воду (горячее водоснабжение) для БУ ВО "Садовский дом-интернат", осуществляющего горячее водоснабжение с использованием централизованной системы в границах садовского сельского поселения Аннинского муниципального района Воронежской области, на период 2019-2023 годов"
(Зарегистрирован 17.12.2021 № 1603)
Номер опубликования: 3601202112210209
Дата опубликования:
21.12.2021
