Официальное опубликование правовых актов
ОФИЦИАЛЬНОЕ ОПУБЛИКОВАНИЕ
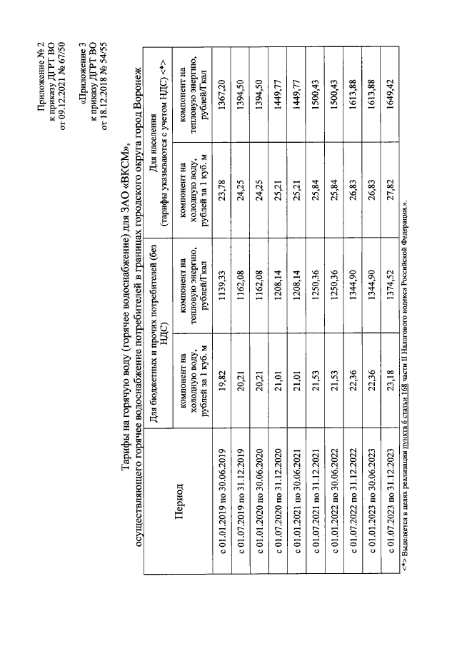
Приказ Департамента государственного регулирования тарифов Воронежской области от 09.12.2021 № 67/50
"О внесении изменений в приказ УРТ от 18.12.2018 № 54/55 "Об установлении долгосрочных параметров регулирования деятельности и установлении тарифов на горячую воду (горячее водоснабжение) для ЗАО "ВКСМ", осуществляющего горячее водоснабжение с использованием централизованной системы в границах городского округа город Воронеж, на период 2019-2023 годов"
(Зарегистрирован 17.12.2021 № 1596)
Номер опубликования: 3601202112210205
Дата опубликования: 21.12.2021
Страница №7 из 7:
Увеличить