Официальное опубликование правовых актов
ОФИЦИАЛЬНОЕ ОПУБЛИКОВАНИЕ
Приказ Департамента государственного регулирования тарифов Воронежской области от 14.12.2021 № 69/62
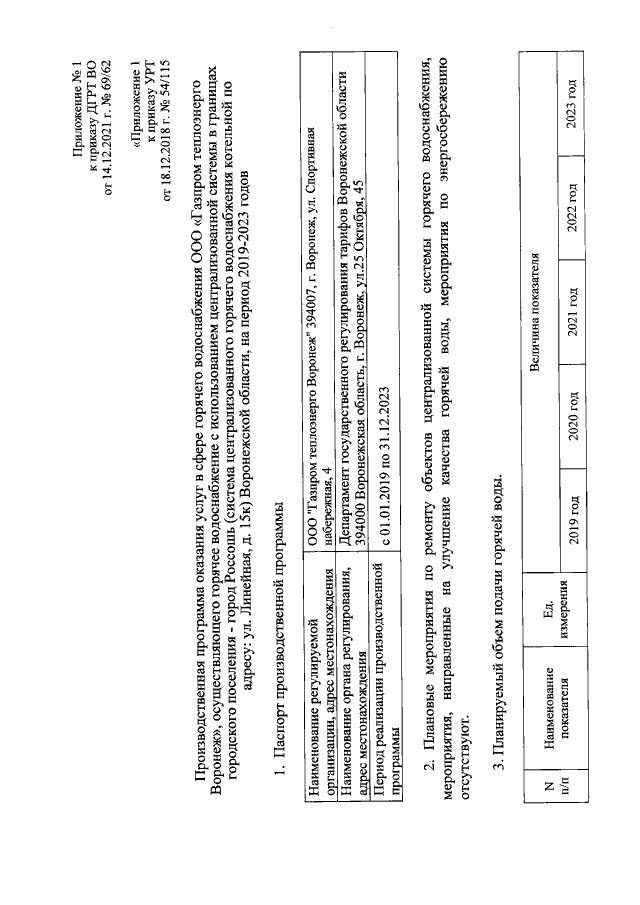
"О внесении изменения в приказ УРТ от 18.12.2018 № 54/115 "Об установлении долгосрочных параметров регулирования деятельности и установлении тарифов на горячую воду (горячее водоснабжение) для ООО "Газпром теплоэнерго Воронеж", осуществляющего горячее водоснабжение с использованием централизованной системы в границах городского поселения - город Россошь (система централизованного горячего водоснабжения котельной по адресу: ул. Линейная, д. 15к) Воронежской области, на период 2019-2023 годов"
(Зарегистрирован 18.12.2021 № 1788)
Номер опубликования: 3601202112210184
Дата опубликования: 21.12.2021
Страница №3 из 7:
Увеличить