Официальное опубликование правовых актов
ОФИЦИАЛЬНОЕ ОПУБЛИКОВАНИЕ
Приказ Департамента государственного регулирования тарифов Воронежской области от 09.12.2021 № 67/52
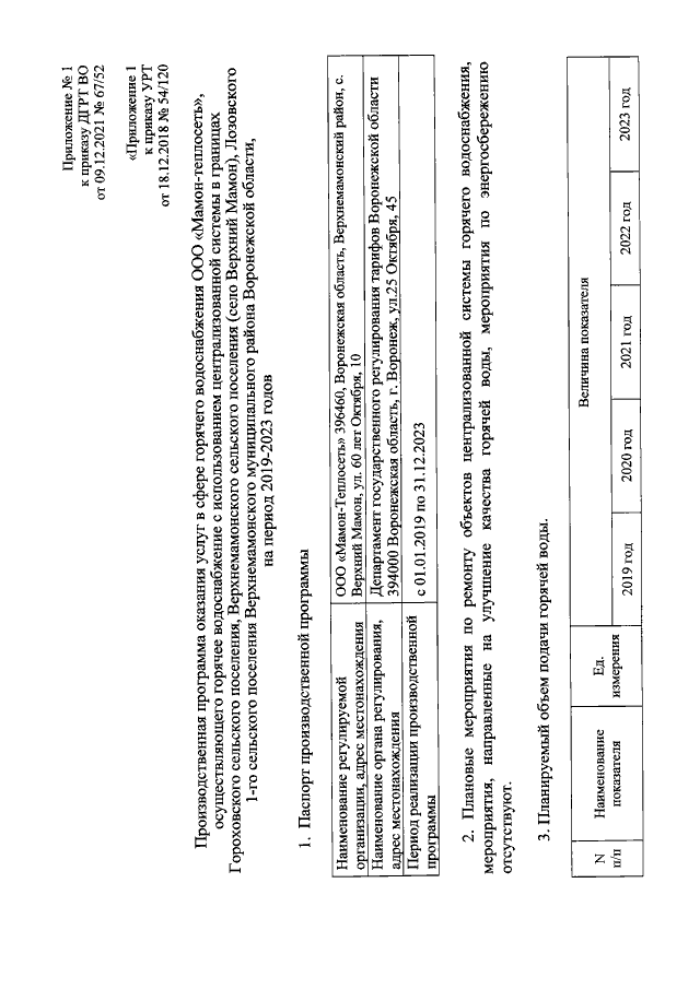
"О внесении изменений в приказ УРТ от 18.12.2018 № 54/120 "Об установлении долгосрочных параметров регулирования деятельности и установлении тарифов на горячую воду (горячее водоснабжение) для ООО "Мамон-теплосеть", осуществляющего горячее водоснабжение с использованием централизованной системы в границах Гороховского сельского поселения, Верхнемамонского сельского поселения (село Верхний Мамон), Лозовского 1-го сельского поселения Верхнемамонского муниципального района Воронежской области, на период 2019-2023 годов"
(Зарегистрирован 17.12.2021 № 1598)
Номер опубликования: 3601202112210099
Дата опубликования: 21.12.2021
Страница №3 из 7:
Увеличить