Официальное опубликование правовых актов
ОФИЦИАЛЬНОЕ ОПУБЛИКОВАНИЕ
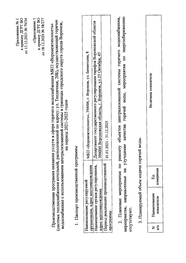
Приказ Департамента государственного регулирования тарифов Воронежской области от 15.12.2021 № 70/34
"О внесении изменения в приказ ДГРТ ВО от 18.12.2020 № 58/277 "Об установлении долгосрочных параметров регулирования деятельности и установлении тарифов на горячую воду (горячее водоснабжение) для МКП "Воронежтеплосеть" (система теплоснабжения котельной, расположенной по адресу: ул. Тепличная, 20Б), осуществляющего горячее водоснабжение с использованием централизованной системы в границах городского округа город Воронеж, на период 2021-2025 годов"
(Зарегистрирован 18.12.2021 № 1787)
Номер опубликования: 3601202112210076
Дата опубликования: 21.12.2021
Страница №3 из 7:
Увеличить