Официальное опубликование правовых актов
ОФИЦИАЛЬНОЕ ОПУБЛИКОВАНИЕ
Приказ Департамента государственного регулирования тарифов Воронежской области от 15.12.2021 № 70/42
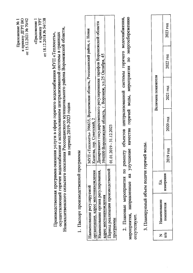
"О внесении изменений в приказ УРТ от 18.12.2018 № 54/138 "Об установлении долгосрочных параметров регулирования деятельности и установлении тарифов на горячую воду (горячее водоснабжение) для МУП "Теплосеть", осуществляющего горячее водоснабжение с использованием централизованной системы в границах Новокалитвенского сельского поселения Россошанского муниципального района Воронежской области, на период 2019-2023 годов"
(Зарегистрирован 18.12.2021 № 1743)
Номер опубликования: 3601202112210062
Дата опубликования: 21.12.2021
Страница №3 из 8:
Увеличить