Официальное опубликование правовых актов
ОФИЦИАЛЬНОЕ ОПУБЛИКОВАНИЕ
Приказ Департамента государственного регулирования тарифов Воронежской области от 15.12.2021 № 70/62
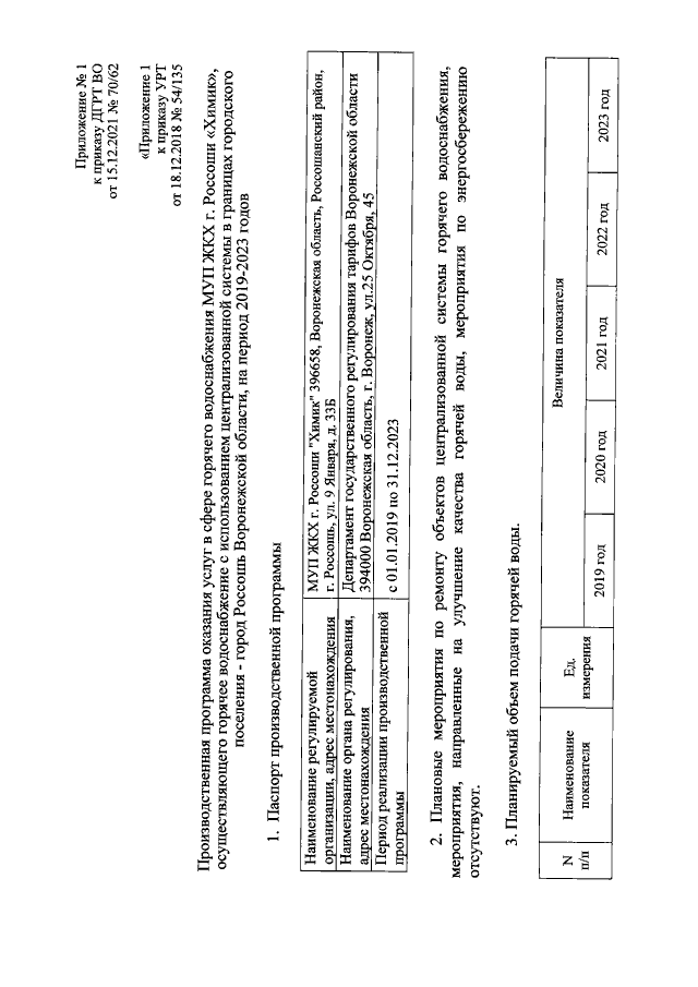
"О внесении изменений в приказ УРТ от 18.12.2018 № 54/135 "Об установлении долгосрочных параметров регулирования деятельности и установлении тарифов на горячую воду (горячее водоснабжение) для МУП ЖКХ "Химик", осуществляющего горячее водоснабжение с использованием централизованной системы в границах городского поселения - город Россошь Воронежской области, на период 2019-2023 годов"
(Зарегистрирован 20.12.2021 № 1794)
Номер опубликования: 3601202112210061
Дата опубликования: 21.12.2021
Страница №3 из 7:
Увеличить