Официальное опубликование правовых актов
ОФИЦИАЛЬНОЕ ОПУБЛИКОВАНИЕ
Приказ Департамента государственного регулирования тарифов Воронежской области от 15.12.2021 № 70/31
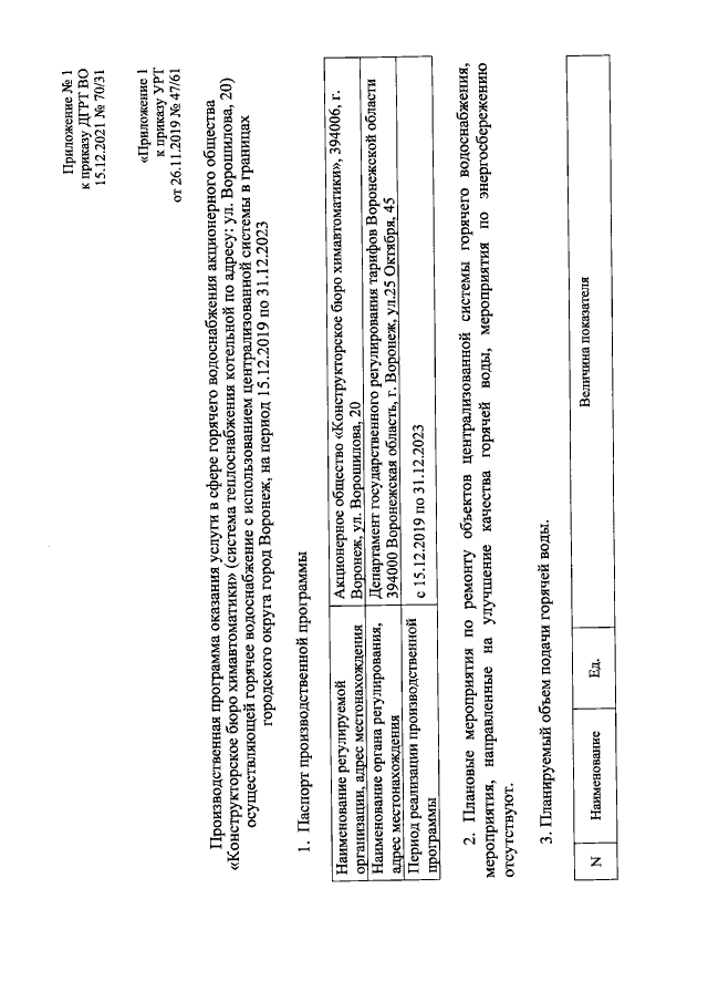
"О внесении изменения в приказ УРТ от 26.11.2019 № 47/61 "Об установлении долгосрочных параметров регулирования деятельности и тарифов на горячую воду (горячее водоснабжение) для акционерного общества "Конструкторское бюро химавтоматики" (система теплоснабжения котельной по адресу: ул. Ворошилова, 20), осуществляющего горячее водоснабжение с использованием централизованной системы в границах городского округа город Воронеж, на период 2019-2023 годов"
(Зарегистрирован 18.12.2021 № 1708)
Номер опубликования: 3601202112210044
Дата опубликования: 21.12.2021
Страница №3 из 7:
Увеличить