Официальное опубликование правовых актов
ОФИЦИАЛЬНОЕ ОПУБЛИКОВАНИЕ
Приказ Департамента государственного регулирования тарифов Воронежской области от 15.12.2021 № 70/69
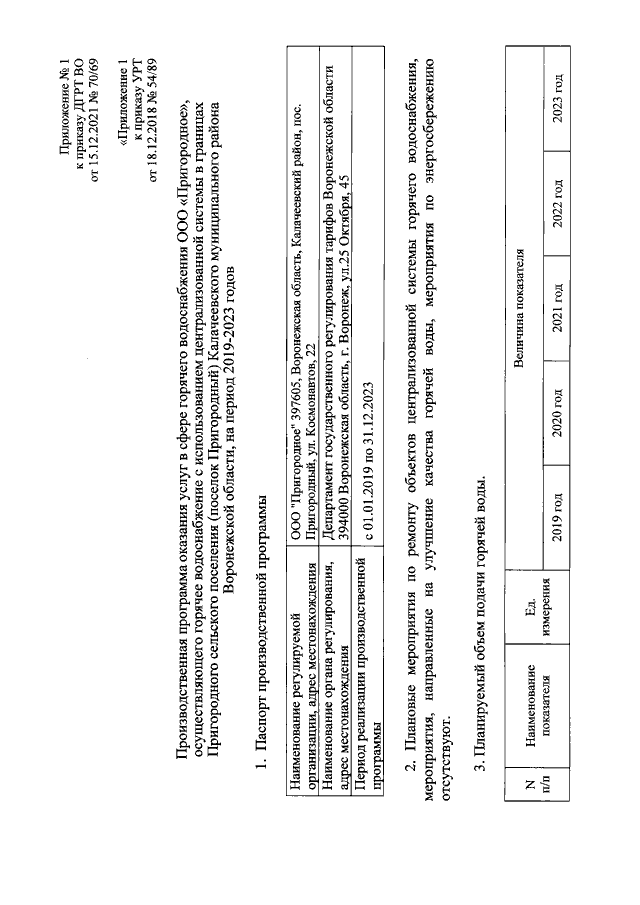
"О внесении изменений в приказ УРТ от 18.12.2018 № 54/89 "Об установлении долгосрочных параметров регулирования деятельности и установлении тарифов на горячую воду (горячее водоснабжение) для ООО "Пригородное", осуществляющего горячее водоснабжение с использованием централизованной системы в границах Пригородного сельского поселения (поселок Пригородный) Калачеевского муниципального района Воронежской области, на период 2019-2023 годов"
(Зарегистрирован 18.12.2021 № 1677)
Номер опубликования: 3601202112210042
Дата опубликования: 21.12.2021
Страница №3 из 7:
Увеличить