Приказ Департамента государственного регулирования тарифов Воронежской области от 15.12.2021 № 70/67
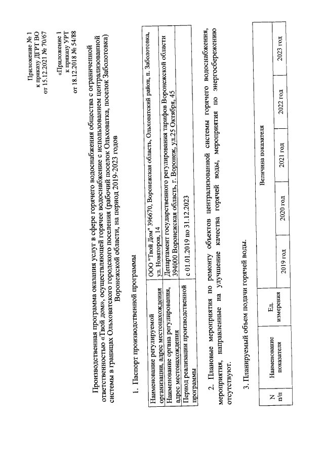
"О внесении изменения в приказ УРТ от 18.12.2018 № 54/88 "Об установлении долгосрочных параметров регулирования деятельности и установлении тарифов на горячую воду (горячее водоснабжение) для общества с ограниченной ответственностью "Твой дом", осуществляющего горячее водоснабжение с использованием централизованной системы в границах Ольховатского городского поселения (рабочий поселок Ольховатка, поселок Заболотовка) Воронежской области, на период 2019-2023 годов"
(Зарегистрирован 18.12.2021 № 1678)
"О внесении изменения в приказ УРТ от 18.12.2018 № 54/88 "Об установлении долгосрочных параметров регулирования деятельности и установлении тарифов на горячую воду (горячее водоснабжение) для общества с ограниченной ответственностью "Твой дом", осуществляющего горячее водоснабжение с использованием централизованной системы в границах Ольховатского городского поселения (рабочий поселок Ольховатка, поселок Заболотовка) Воронежской области, на период 2019-2023 годов"
(Зарегистрирован 18.12.2021 № 1678)
Номер опубликования: 3601202112210036
Дата опубликования:
21.12.2021
