Приказ Департамента государственного регулирования тарифов Воронежской области от 09.12.2021 № 67/3
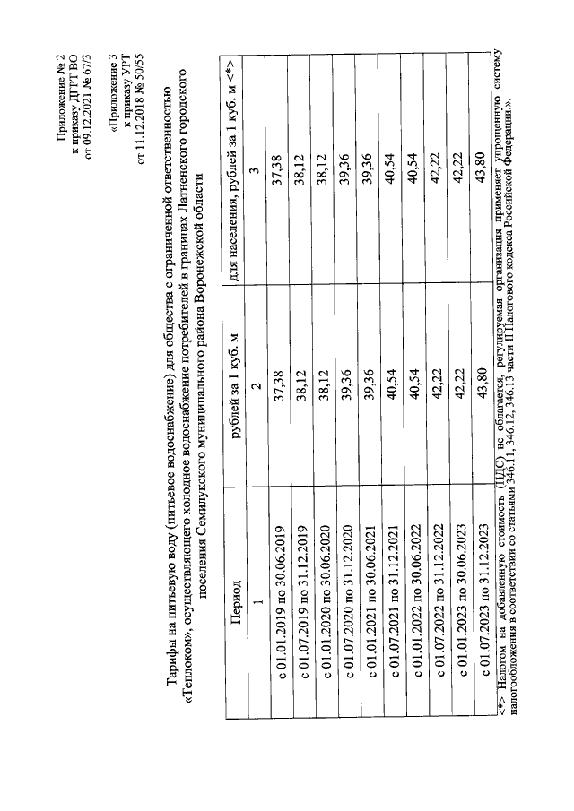
"О внесении изменений в приказ УРТ от 11.12.2018 № 50/55 "Об установлении долгосрочных параметров регулирования деятельности и тарифов на питьевую воду (питьевое водоснабжение) для общества с ограниченной ответственностью "Теплоком", осуществляющего холодное водоснабжение потребителей в границах Латненского городского поселения Семилукского муниципального района Воронежской области, на период 2019-2023 годов"
(Зарегистрирован 16.12.2021 № 1571)
"О внесении изменений в приказ УРТ от 11.12.2018 № 50/55 "Об установлении долгосрочных параметров регулирования деятельности и тарифов на питьевую воду (питьевое водоснабжение) для общества с ограниченной ответственностью "Теплоком", осуществляющего холодное водоснабжение потребителей в границах Латненского городского поселения Семилукского муниципального района Воронежской области, на период 2019-2023 годов"
(Зарегистрирован 16.12.2021 № 1571)
Номер опубликования: 3601202112170042
Дата опубликования:
17.12.2021
