Официальное опубликование правовых актов
ОФИЦИАЛЬНОЕ ОПУБЛИКОВАНИЕ
Приказ Департамента государственного регулирования тарифов Воронежской области от 30.11.2021 № 63/8
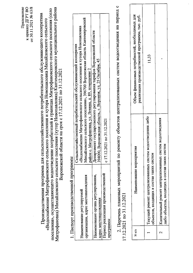
"Об установлении тарифов на водоотведение для сельскохозяйственного потребительского обслуживающего кооператива "Водоснабжение Митрофановского сельского поселения и хутора Новопавловка Михайловского сельского поселения", осуществляющего водоотведение в границах Митрофановского сельского поселения (село Митрофановка) Михайловского сельского поселения (хутор Новопавловка) Кантемировского муниципального района Воронежской области, на период с 17.12.2021 по 31.12.2021 год"
(Зарегистрирован 08.12.2021 № 1417)
Номер опубликования: 3601202112090037
Дата опубликования: 09.12.2021
Страница №3 из 5:
Увеличить