Официальное опубликование правовых актов
ОФИЦИАЛЬНОЕ ОПУБЛИКОВАНИЕ
Приказ Департамента государственного регулирования тарифов Воронежской области от 18.11.2021 № 60/13
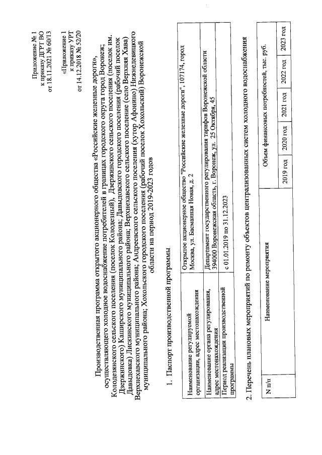
"О внесении изменений в приказ УРТ от 14.12.2018 № 52/20 "Об установлении долгосрочных параметров регулирования деятельности и тарифов на питьевую воду (питьевое водоснабжение) для открытого акционерного общества "Российские железные дороги", осуществляющего холодное водоснабжение потребителей в границах городского округа город Воронеж; Колодезянского сельского поселения (поселок Колодезный), Дзержинского сельского поселения (поселок им. Дзержинского) Каширского муниципального района; Давыдовского городского поселения (рабочий поселок Давыдовка) Лискинского муниципального района; Верхнехавского сельского поселение (село Верхняя Хава) Верхнехавского муниципального района; Андреевского сельского поселения (хутор Афонино) Нижнедевицкого муниципального района; Хохольского городского поселения (рабочий поселок Хохольский) Воронежской области, на период 2019 - 2023 годов"
(Зарегистрирован 25.11.2021 № 1207)
Номер опубликования: 3601202111290014
Дата опубликования: 29.11.2021
Страница №4 из 9:
Увеличить