Официальное опубликование правовых актов
ОФИЦИАЛЬНОЕ ОПУБЛИКОВАНИЕ
Приказ Департамента государственного регулирования тарифов Воронежской области от 03.11.2021 № 57/1
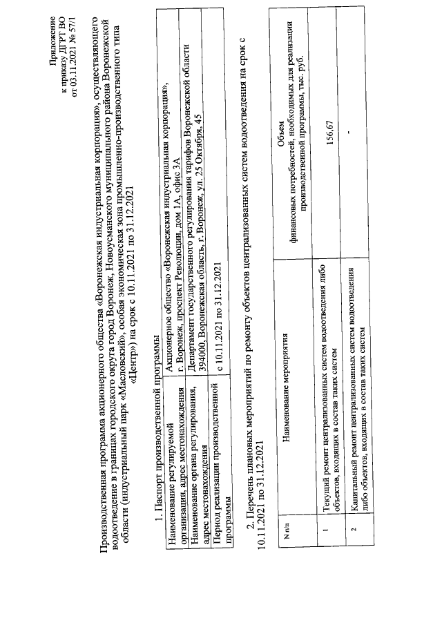
"Об установлении тарифов на транспортировку сточных вод для акционерного общества "Воронежская индустриальная корпорация", осуществляющего водоотведение в границах городского округа город Воронеж, Новоусманского муниципального района Воронежской области (индустриальный парк "Масловский", особая экономическая зона промышленно-производственного типа "Центр"), на период с 10.11.2021 по 31.12.2021 год"
(Зарегистрирован 10.11.2021 № 1034)
Номер опубликования: 3601202111110004
Дата опубликования: 11.11.2021
Страница №3 из 5:
Увеличить