Официальное опубликование правовых актов
ОФИЦИАЛЬНОЕ ОПУБЛИКОВАНИЕ
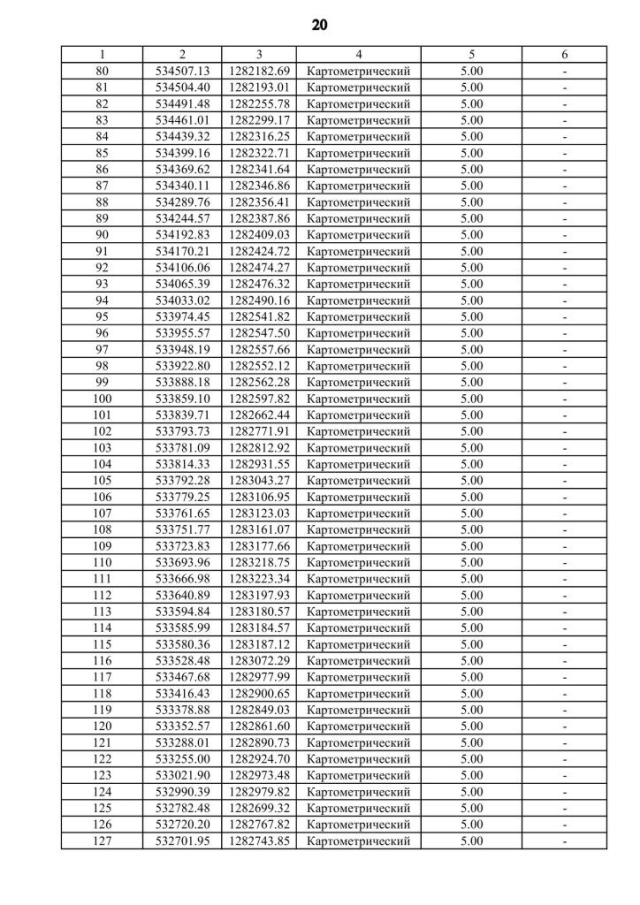
Приказ Департамента архитектуры и градостроительства Воронежской области от 09.06.2020 № 45-01-04/419
"Об утверждении правил землепользования и застройки Перлёвского сельского поселения Семилукского муниципального района Воронежской области"
(Зарегистрирован 16.06.2020 № 425)
Номер опубликования: 3601202006220001
Дата опубликования: 22.06.2020
Страница №127 из 134:
Увеличить