Официальное опубликование правовых актов
ОФИЦИАЛЬНОЕ ОПУБЛИКОВАНИЕ
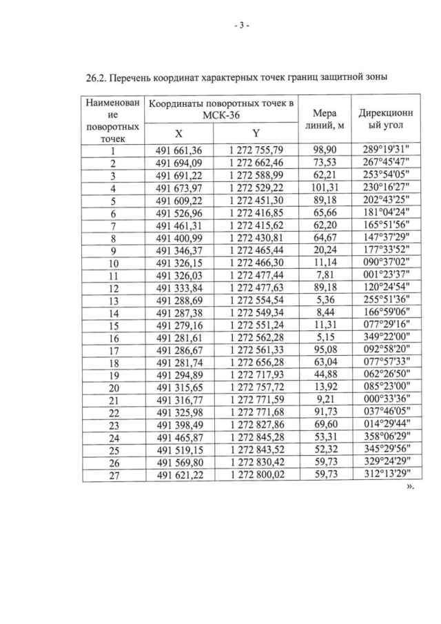
Приказ управления по охране объектов культурного наследия Воронежской области от 27.05.2020 № 71-01-07/263
"О внесении изменений в приказ управления по охране объектов культурного наследия Воронежской области от 28.11.2019 № 71-01-07/326"
(Зарегистрирован 02.06.2020 № 357)
Номер опубликования: 3601202006100002
Дата опубликования: 10.06.2020
Страница №3 из 5:
Увеличить