Официальное опубликование правовых актов
ОФИЦИАЛЬНОЕ ОПУБЛИКОВАНИЕ
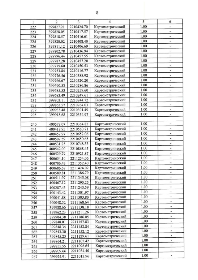
Приказ Департамента архитектуры и градостроительства Воронежской области от 25.05.2020 № 45-01-04/378
"Об утверждении правил землепользования и застройки Воробьёвского сельского поселения Воробьёвского муниципального района Воронежской области"
(Зарегистрирован 29.05.2020 № 352)
Номер опубликования: 3601202006050004
Дата опубликования: 05.06.2020
Страница №65 из 350:
Увеличить