Официальное опубликование правовых актов
ОФИЦИАЛЬНОЕ ОПУБЛИКОВАНИЕ
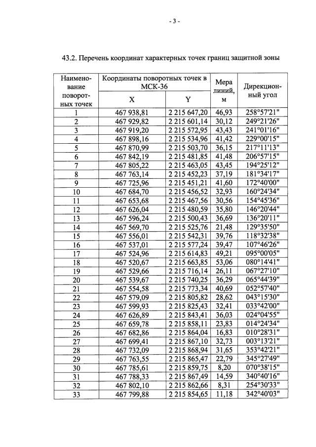
Приказ управления по охране объектов культурного наследия Воронежской области от 27.04.2020 № 71-01-07/226
"О внесении изменения в приказ управления по охране объектов культурного наследия Воронежской области от 04.12.2019 №71-01-07/338"
(Зарегистрирован 08.05.2020 № 303)
Номер опубликования: 3601202005140007
Дата опубликования: 14.05.2020
Страница №3 из 4:
Увеличить