Официальное опубликование правовых актов
ОФИЦИАЛЬНОЕ ОПУБЛИКОВАНИЕ
Приказ управления по охране объектов культурного наследия Воронежской области от 28.11.2019 № 71-01-07/327
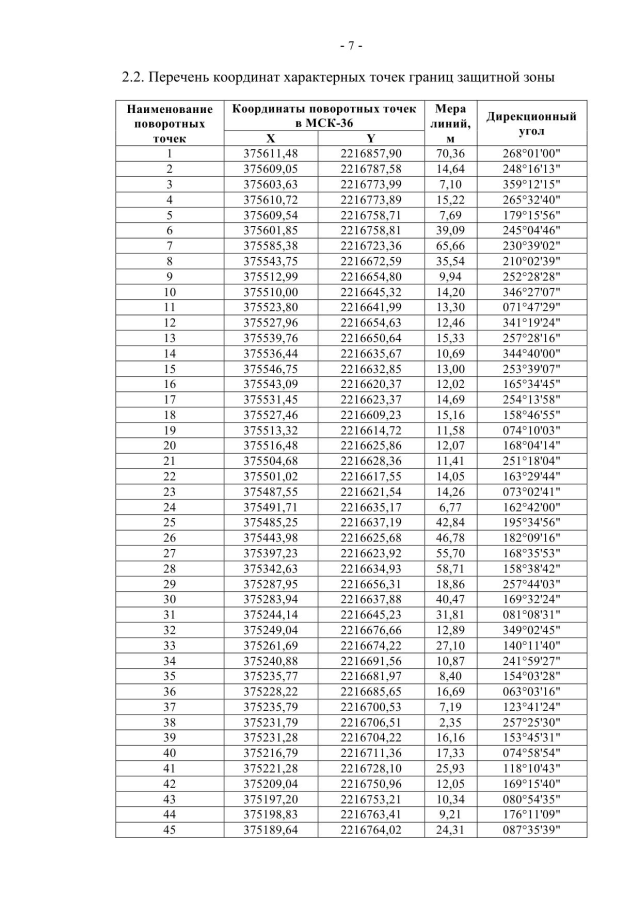
"Об утверждении графического описания местоположения границ (с перечнем координат характерных точек этих границ) защитных зон объектов культурного наследия, расположенных на территории Воронежской области"
(Зарегистрирован 10.12.2019 № 1177)
Номер опубликования: 3601201912160001
Дата опубликования: 16.12.2019
Страница №7 из 86:
Увеличить