Официальное опубликование правовых актов
ОФИЦИАЛЬНОЕ ОПУБЛИКОВАНИЕ
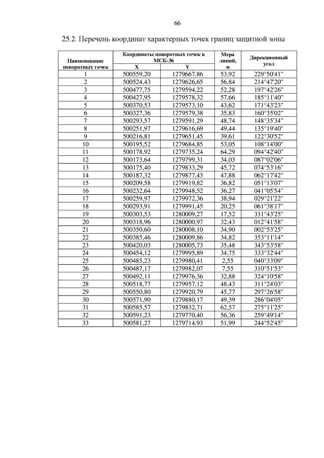
Приказ управления по охране объектов культурного наследия Воронежской области от 28.11.2019 № 71-01-07/326
"Об утверждении графического описания местоположения границ (с перечнем координат характерных точек этих границ) защитных зон объектов культурного наследия, расположенных на территории Воронежской области"
(Зарегистрирован 05.12.2019 № 1059)
Номер опубликования: 3601201912100006
Дата опубликования: 10.12.2019
Страница №66 из 74:
Увеличить