Официальное опубликование правовых актов
ОФИЦИАЛЬНОЕ ОПУБЛИКОВАНИЕ
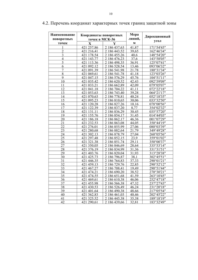
Приказ управления по охране объектов культурного наследия Воронежской области от 03.09.2019 № 71-01-07/212
"Об утверждении графического описания местоположения границ (с перечнем координат характерных точек этих границ) защитных зон объектов культурного наследия, расположенных на территории Воронежской области"
(Зарегистрирован 17.09.2019 № 634)
Номер опубликования: 3601201909200009
Дата опубликования: 20.09.2019
Страница №10 из 62:
Увеличить