Официальное опубликование правовых актов
ОФИЦИАЛЬНОЕ ОПУБЛИКОВАНИЕ
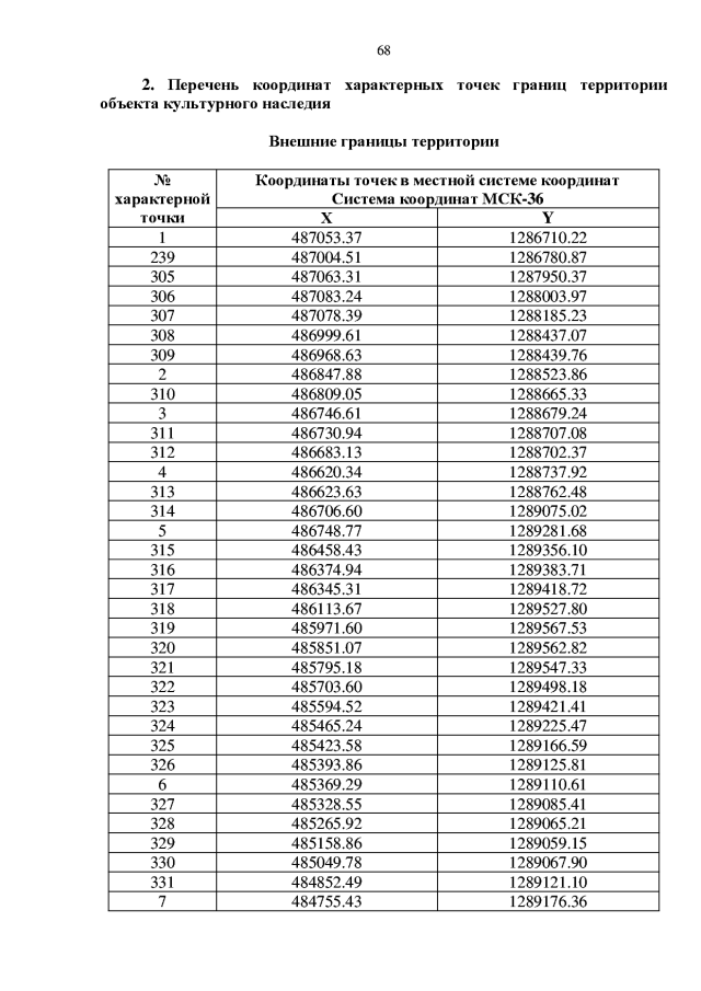
Приказ управления по охране объектов культурного наследия Воронежской области от 02.07.2019 № 71-01-07/168
"О внесении изменений в приказ управления по охране объектов культурного наследия Воронежской области от 28.01.2016 № 71-01-07/12"
(Зарегистрирован 10.07.2019 № 487)
Номер опубликования: 3601201907120001
Дата опубликования: 12.07.2019
Страница №68 из 233:
Увеличить