Официальное опубликование правовых актов
ОФИЦИАЛЬНОЕ ОПУБЛИКОВАНИЕ
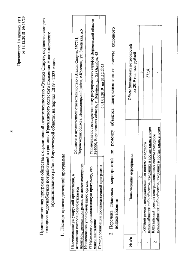
Приказ управления по государственному регулированию тарифов Воронежской области
от 17.12.2018 № 53/29
"Об установлении долгосрочных параметров регулирования деятельности и тарифов на питьевую воду (питьевое водоснабжение) для общества с ограниченной ответственностью "Этанол Спирт", осуществляющего холодное водоснабжение потребителей в границах Краснянского сельского поселения Новохоперского муниципального района Воронежской области, на период 2019 - 2023 годов"
(Зарегистрирован 19.12.2018 № 1357)
Номер опубликования: 3601201812210035
Дата опубликования: 21.12.2018
Страница №3 из 7:
Увеличить