Официальное опубликование правовых актов
ОФИЦИАЛЬНОЕ ОПУБЛИКОВАНИЕ
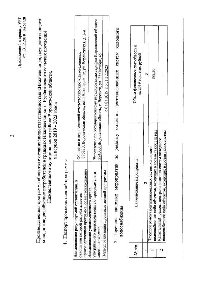
Приказ управления по государственному регулированию тарифов Воронежской области
от 13.12.2018 № 51/28
"Об установлении долгосрочных параметров регулирования деятельности и тарифов на питьевую воду (питьевое водоснабжение) для общества с ограниченной ответственностью "Нижнедевицк", осуществляющего холодное водоснабжение потребителей в границах Нижнедевицкого, Курбатовского сельских поселений Нижнедевицкого муниципального района Воронежской области, на период 2019-2023 годов"
(Зарегистрирован 17.12.2018 № 1249)
Номер опубликования: 3601201812190043
Дата опубликования: 19.12.2018
Страница №3 из 7:
Увеличить